Mario Román

Home

❯

notes

❯

lifting a distributive law

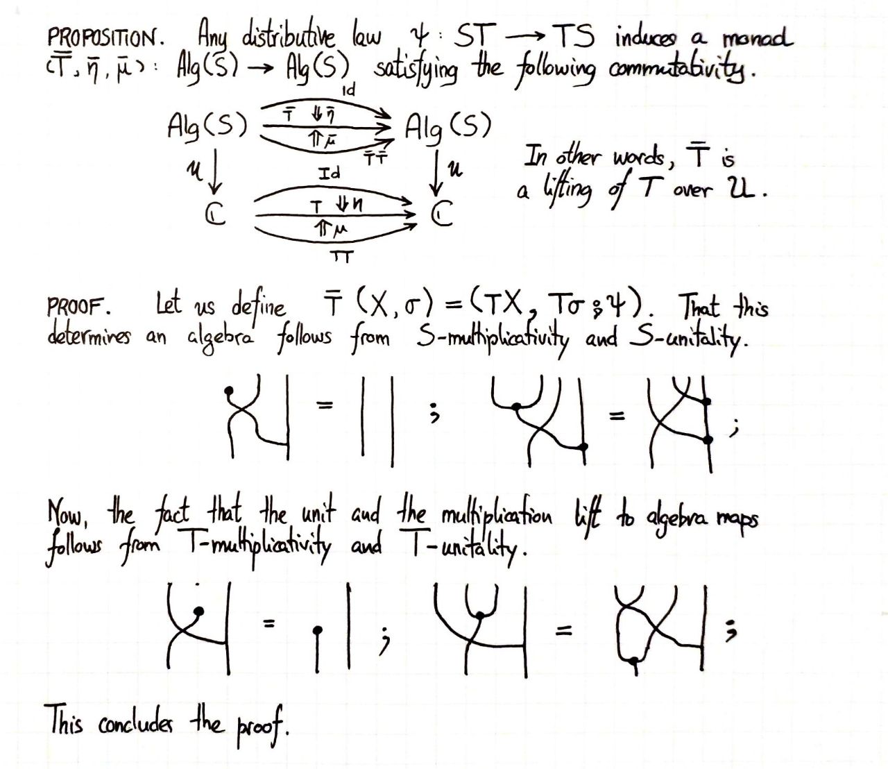
lifting a distributive law

Feb 10, 20261 min read

lifting-a-distributive-law

References.

  • Distributive Laws (Beck, 1969)

Tags: distributive law.


Graph View

Mario Román (2026), CC-BY-SA. Human written, using Quartz and Write.

  • GitHub
  • ArXiv
  • OrcID